Burner Capsules
lmproved formula with scientifically researched ingredients
Speeds up your fat metabolism
With choline, bitter melon extract, and green tea extractSupports during diet phases and enhances training performance
Contains patented ingredients such as Sinetrol® XPur, Sunphenon® 9OD, andVitaCholine™
Sinetrol® XPur: 10+ years ofscientific research.
Sinetrol° XPur is a patented citrus fruit extract that has undergone over a decade of scientific research.These studies demonstrate its ability to increase metabolic activity, resulting in reduced body weight,particularly fat mass.In addition, research suggests it promotes heart health by regulating cholesterol levels and supporting vascular health.Therefore, Sinetrol® XPur is not only effective for weight management but also for enhancing cardiovascular wellness. lt was a clear decision for us to include Sinetrol® XPur in our Burner Capsules.
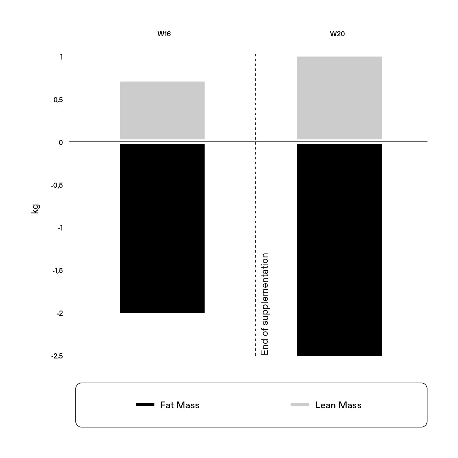
Efficient weight reduction.
In 2017, a randomized controlled study was conducted in Spain involving 77 participants who consumed 900mg of Sinetrol° daily over a 16-week period.This study, conducted in accordance with EFSA guidelines, targeted overweight individuals (BM 25-40).
The results revealed significant weight loss in participants after 16 weeks of Sinetrol° XPUR intake. Notably, even after discontinuation of Sinetrol° XPUR and a 4-week break in week 20, no subsequent weight gain was observed.Instead, participants continued to experience weight loss.
Long-lasting fat loss.
It's essential to distinguish between weight loss and fat loss, with the latter focusing on shedding pure body fat rather than muscle or water.
Study results demonstrate that Sinetrol° not only facilitates general weight loss but also targeted fat loss. Moreover, participants in the study were able to concurrently build muscle mass. Even after a 4-week break from usage, Sinetrol" continued to exhibit positive effects,enabling participants to sustain fat loss and muscle growth.
How Sinetrol@ works.
You may be curious about how a fruit extract can contribute to both fat-burning and muscle-building. Sinetrol® activates biochemical processes akin to those in brown fat cells, which convert fat into heat instead of ATP (adenosine triphosphate), thereby elevating your body's energy expenditure and facilitating fat burning.
In addition, Sinetrol® increases the production of uncoupling proteins (UCPs),which enhance metabolism and aid in converting fat into energy. This is achieved by amplifying a cellular signal that promotes fat burning, effectively converting surplus calories into heat.
Sunphenon@90D x VitaCholinem
Sunphenon® 90D and VitaCholine" are two patented active ingredients that we have integrated into our Burner Capsules to promote fat burning.Sunphenon® 9OD is a green tea extract with a high content of epigallocatechin gallate (EGCG), which plays a crucial role in stimulating fat metabolism.
VitaCholineTm, on the other hand, is a high-quality source of cholinean- essential nutrient that plays a key role in the transportation of fat from the liver. Choline is also ofinterest to athletes, as it improves physical performance and supports fat metabolism. To achieve the maximum effect,we combine ½ EGCG with % VitaCholineTM in our Burner Capsules.
Small capsule. Big effect.
Our formula blends carefully chosen ingredients that synergistically accelerate fat metabolism while simultaneously enhancing training performance.
We rely on Sinetrol® XPur, a highly potent branded ingredient that merges natural polyphenols from citrus fruits and guarana. Additionally, we incorporate green tea extract (L-theanine) for its supportive role in fat burning and the patented choline source VitaCholineTm.
The unique combination of caffeine, bitter melon fruit extract, green tea extract (Sunphenon® 90D),vitamin B6 (P-5-P), and vitamin B12 completes our innovative formula. To boost the bioavailability of other ingredients, we've included black pepper extract (BioPerine®).
Increased lipolytic activity=less fat.
Lipolysis is the chemical process wherein fat is broken down into smaller components. Enzymes, particularly lipase, play a significant role in breaking down fat molecules within cells, rendering them usable as an energy source by the body. Lipolysis is crucial for mobilizing stored fat, converting it into energy, and releasing fatty acids and glycerol.
Sinetrol leverages this mechanism to promote fat loss.in essence, its active ingredients naturally enhance the release of fatty acids from cells.Consequently,Sinetrol° facilitates the more efficient conversion of fat into energy, a process often associated with fat and weight loss.
Why Women's Best?
More Than Just a Brand
Since Women’s Best was founded in 2015, it has always been more than just a brand that sells products.The Women’s Best vision is to inspire & empower women around the globe to become the best version of themselves.
YOUR SATISFACTION IS OUR Priority.
At Women’s Best, your satisfaction is our top priority. We listen to you, and we want to continuously provide you with a great experience and outstanding services.
Professional and reliable customer service. Our team aims to respond to all of your queries within just a few days.
Fast international shipping by working with the best carriers
A user-friendly and easy to surf website



